Skip to content

Bendix RNS-3400 Area Navigation System Installation Manual (I.B.23400)

$29.00
SKU 40500:R
  • Revised May 1975
  • Component Description: CD-3401A, IU-3404A, AD-3405A, MT-3404A, DC-3406A
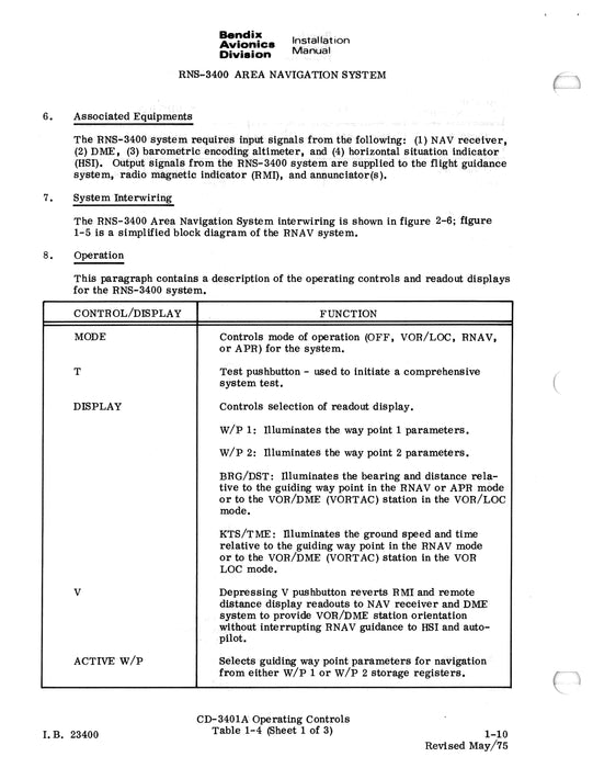
  • I.B. 23400